موقع مراجعة سنوات الاعدادي

college.mourajaa.com

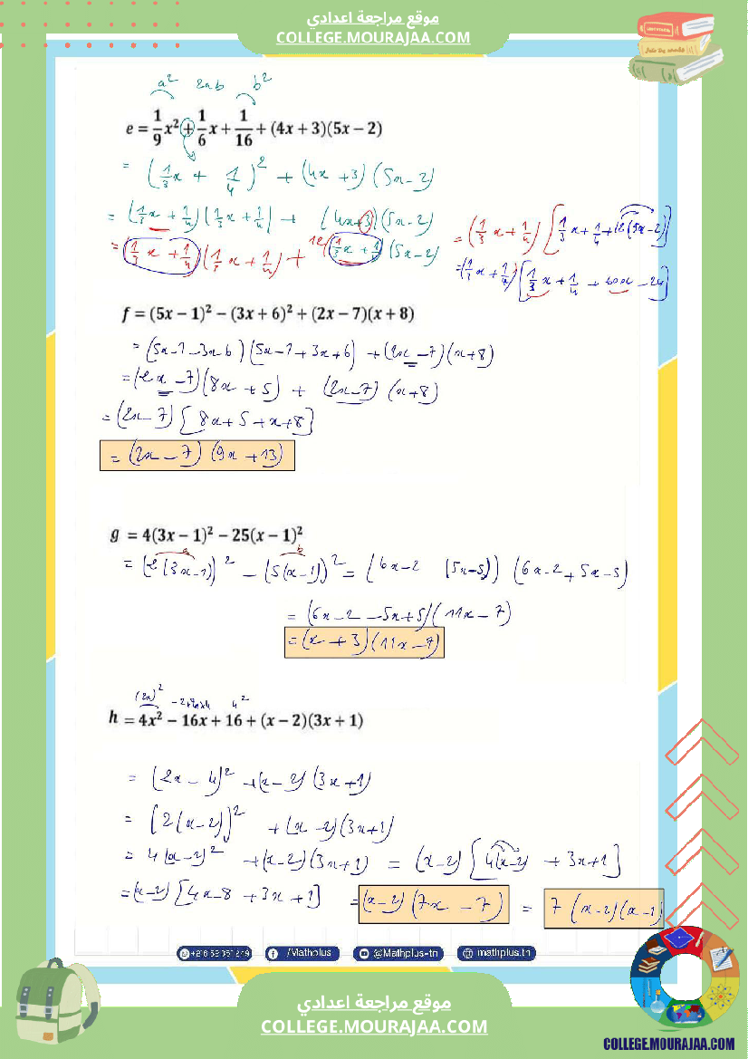
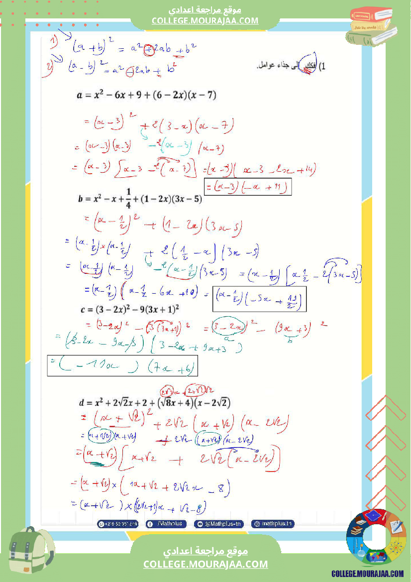
التاسعة اساسي math جداءات معتبرة

التاسعة اساسي math جداءات معتبرة